圖1、智鑄超云模擬金屬液在錐形流道里的充填過程
并且,從直澆道開始到內澆口,其截面積是逐漸縮小的,如圖2所示,N1>R1>(R2+R3)>(G1+G2),且N1≈1.25~1.7(G1+G2)。
圖2、期望的金屬液流向
這樣設計的好處有:
1.保證整個澆注系統內金屬液處于充滿狀態,有效降低氣體卷入,使金屬液的流動速度加快,有利于在金屬未凝固前完成充填;
2.設置的緩沖包可用于吸納金屬液的沖擊能量,接納冷、污金屬液;
3.此類形式的澆注系統輕巧,可節省金屬液的消耗量。
接下來就用智鑄超云模擬金屬液在錐形流道里的充填過程,直觀形象地理解橫澆道變截面設計的原因,以及緩沖包吸納功能的直接體現。
從圖1展示的充填過程可以看出,金屬液始終以充滿流道的狀態逐步到達內澆口,不會在橫澆道內形成翻卷,并且最前端的金屬液也流進了緩沖包內,有效避免了冷、污金屬進入型腔。
圖2所示的鑄件結構是典型的錐形流道結構,盡管我們都期望金屬液以圖示的方向進入型腔,但是,經實際生產驗證,壓鑄件總是會在圖中所標識的地方產生困氣,這表明一個現象:錐形流道設計中,金屬液進入型腔的射流是呈一定角度的,而不是直角射入。金屬液的進入方向與重力方向形成的角度也稱作“射流角度”,如圖3所示。
射流的角度由兩個方面的因素決定:
1.沿著流道方向的水平分速度;
2.由于金屬壓力作用產生的垂直分速度。
圖3、射流角度
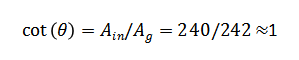
確切地說,是橫澆道入口處的截面積
和內澆口面積
決定了射流角度值的大小。這三者的關系可由式1和圖4表明。

△式1
本例中的鑄件的澆道系統形狀參數是:


結合圖4:射流角度-橫澆道截面積/內澆口的關系圖,能確定具體的射流角度值為45°。
圖4、射流角度確定
由式1表達的關系可以得出,若保持內澆口尺寸不變,當橫澆道入口處的尺寸正向變大時,射流角度就會越大。
為了直觀表達這個變化過程,可通過設置不同
的
與值,設計相對應的鑄件模型,通過壓鑄模擬軟件的計算結果來觀察這個變化過程。
模型一:
![]()
理論圖示:
智鑄超云模擬圖示:
充型完成時間:0.0110s
模型二:

理論圖示:
智鑄超云模擬圖示:
充型完成時間:0.0152s
模型三:

理論圖示:
智鑄超云模擬圖示:
充型完成時間:0.0263s
此外,在錐形流道結構設計中,內澆口的有效面積也是需要考慮的,因為射流角度的大小同樣會影響內澆口的有效面積值。射流角度與內澆口有效面積和實際面積之間有如下關系:

從以上三個模型對比中可以看出,在同樣的內澆口面積條件下,射流角度大,則有效面積減小,即實際的充填時間會比理論設計的充填時間長,鑄件出現冷紋、流痕的概率就會比預期高。




